理系出身の素人が趣味で勉強するブログ
気ままに楽しむ物理学
  • 当ブログについて
  • 物理学
  • 数学
  • その他
  • お問い合わせ
  • 当ブログについて
  • 物理学
  • 数学
  • その他
  • お問い合わせ

2022-05

数学

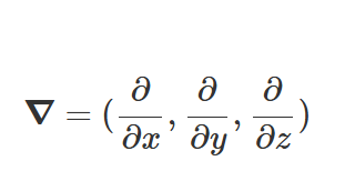
\(\nabla\)演算子とは

この記事では∇演算子と∇を使った演算についてまとめています。マクスウェル方程式を例に∇演算子をまとめています。
2022.05.19
数学

最近の投稿

  • 【高校物理:力学⑥】力の合成と分解
  • 高校物理の記事一覧
  • 【高校物理:力学⑤】力のつりあいと重力・垂直抗力
  • 【高校物理:力学④】運動の3法則
  • 【高校物理:力学③】自由落下と放物運動

最近のコメント

表示できるコメントはありません。

アーカイブ

  • 2026年2月
  • 2026年1月
  • 2025年8月
  • 2025年6月
  • 2025年5月
  • 2025年4月
  • 2025年3月
  • 2023年12月
  • 2023年11月
  • 2023年4月
  • 2023年1月
  • 2022年9月
  • 2022年8月
  • 2022年5月
  • 2022年4月
  • 2022年3月

カテゴリー

  • その他
  • 当ブログについて
  • 数学
  • 日商簿記
  • 未分類
  • 物理学
  • 特殊相対性理論
  • 電磁気学
  • 高校物理
気ままに楽しむ物理学
  • プライバシーポリシー・免責事項
  • お問い合わせ
© 2022 気ままに楽しむ物理学.
  • 当ブログについて
  • 物理学
  • 数学
  • その他
  • お問い合わせ